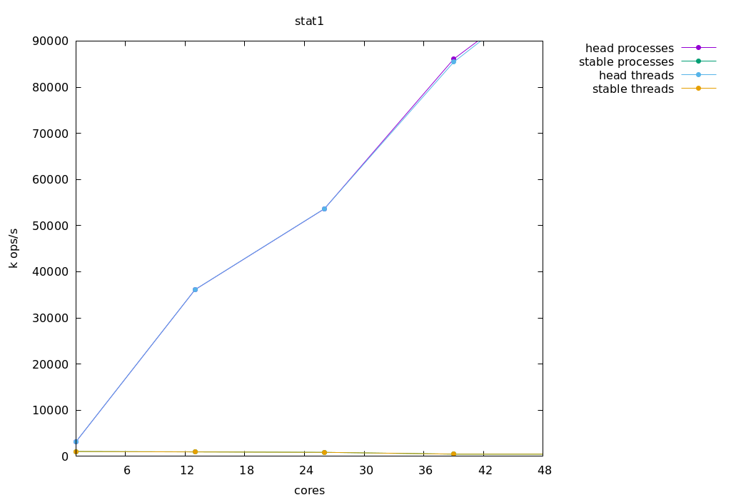
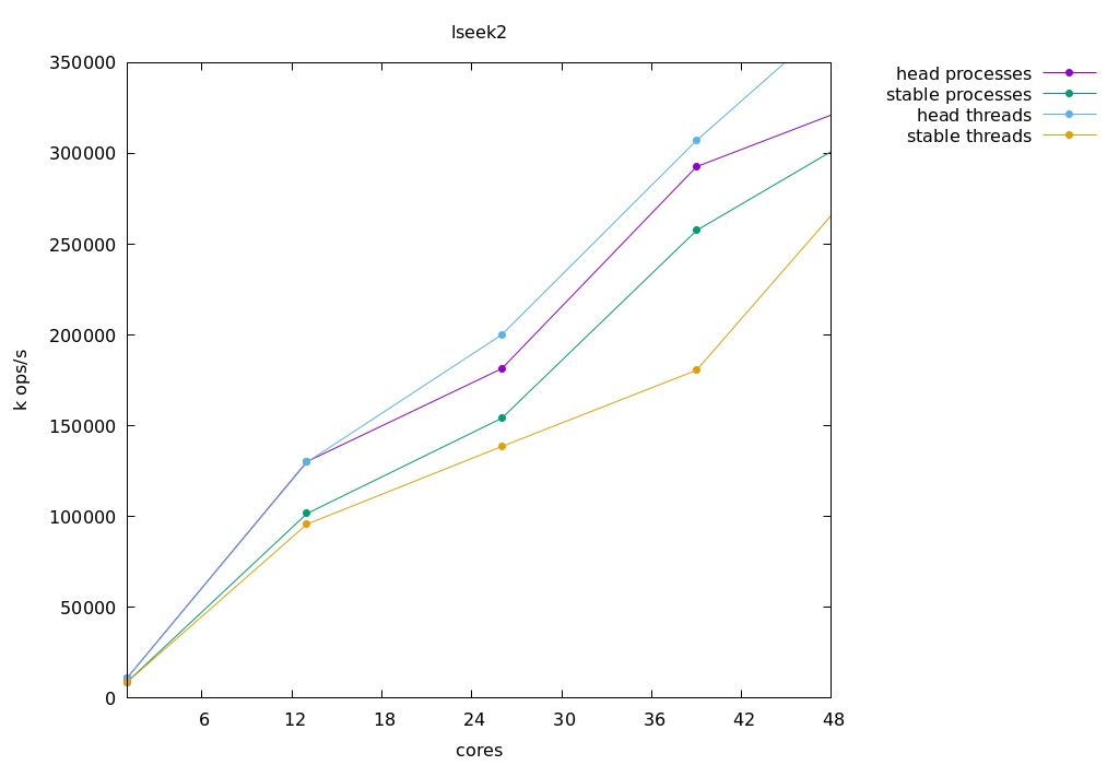
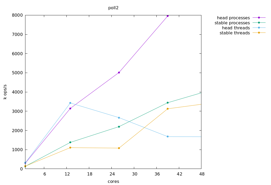
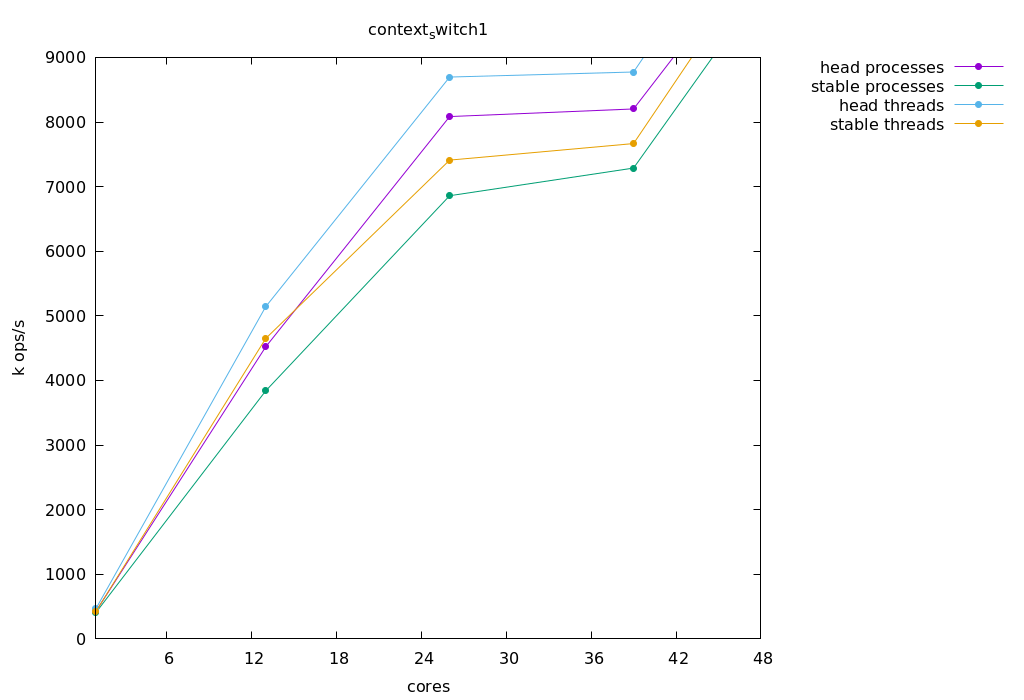
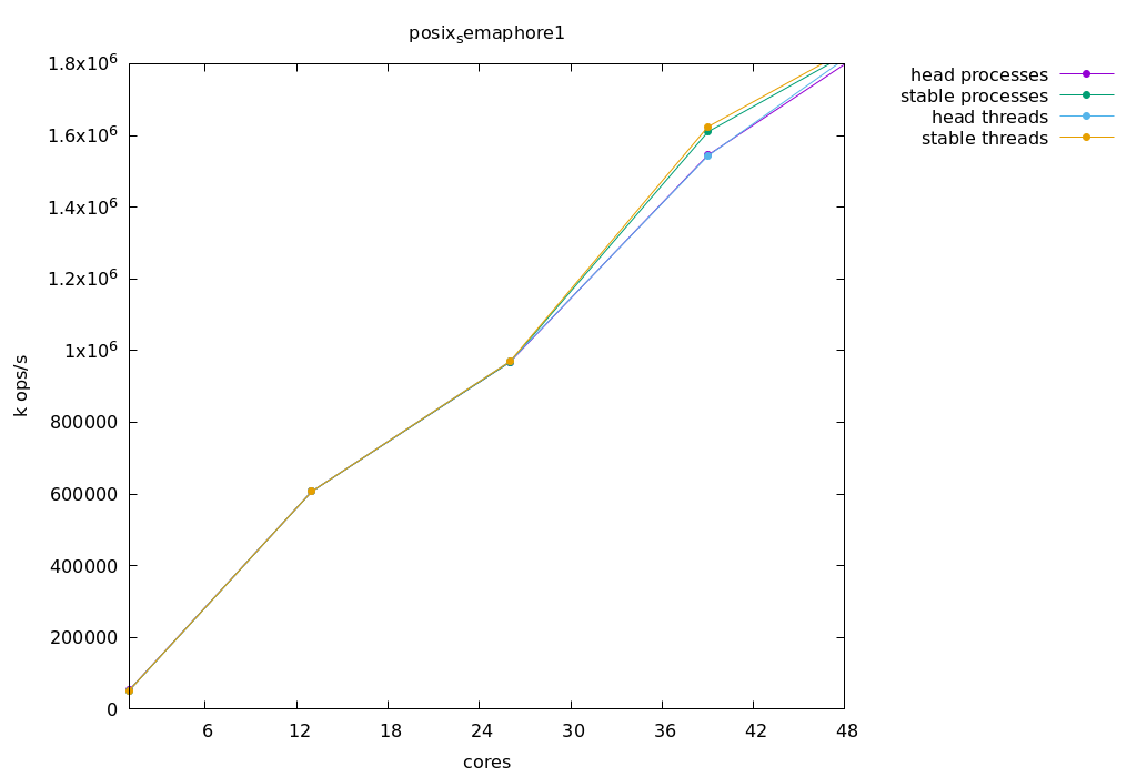
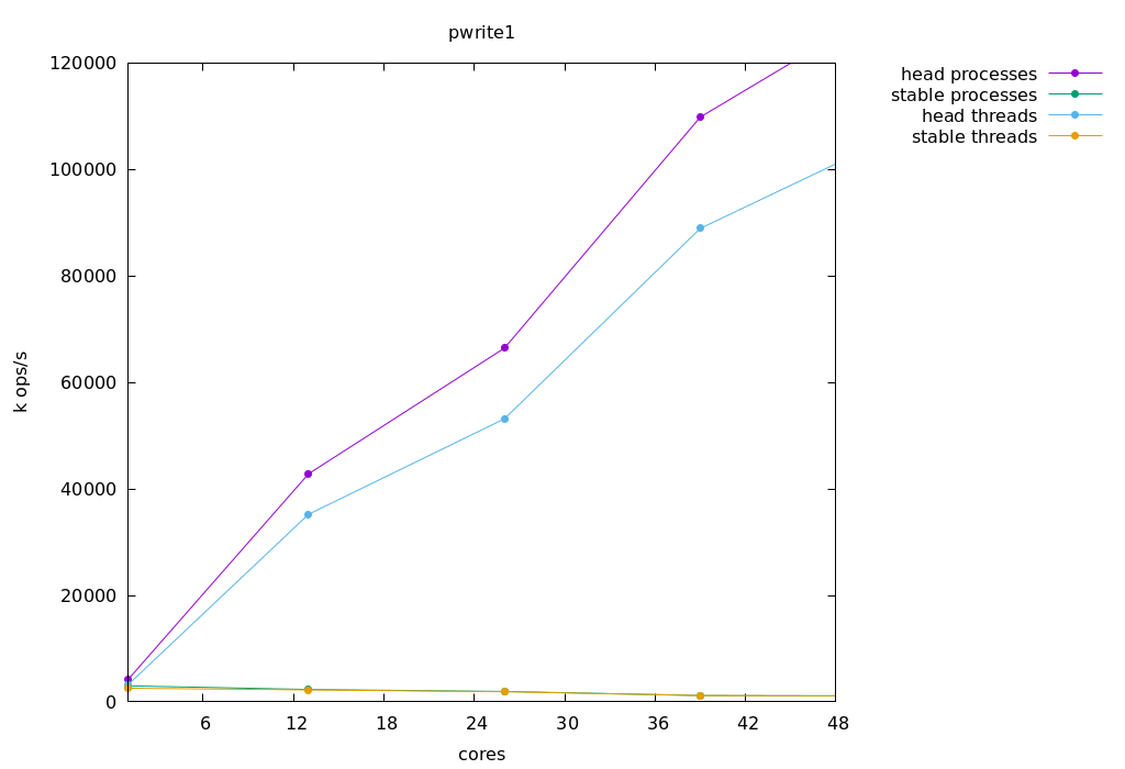
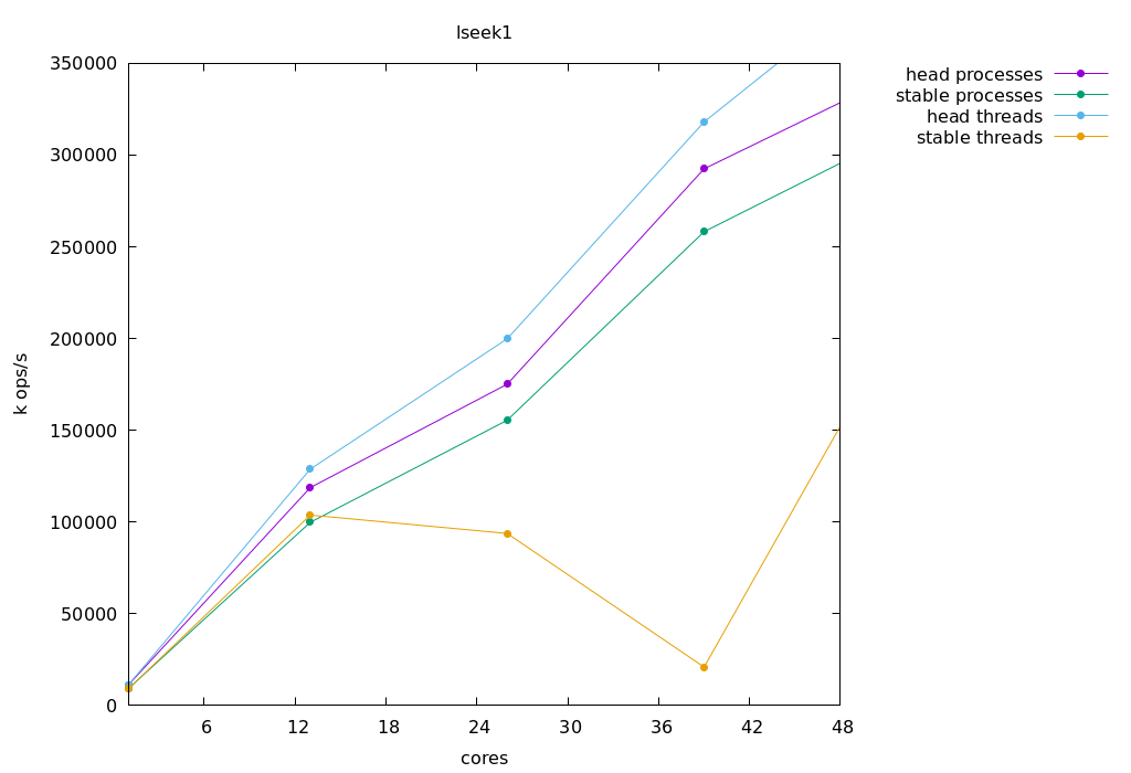
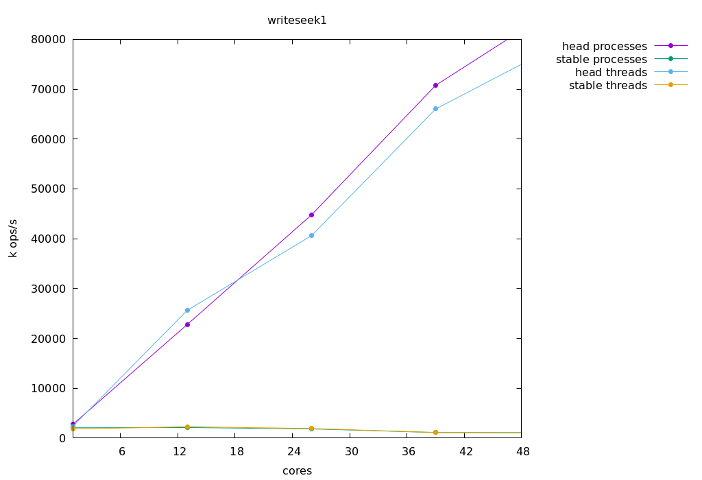
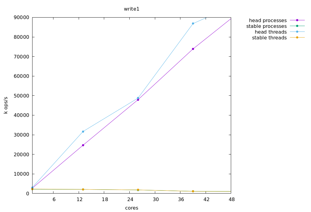
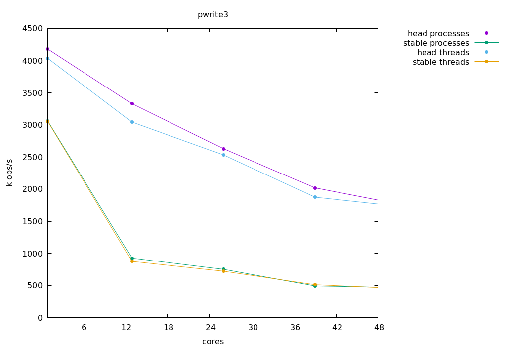
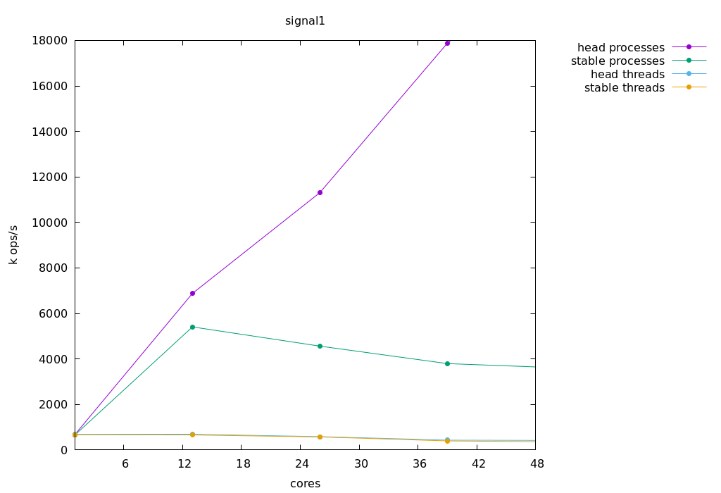
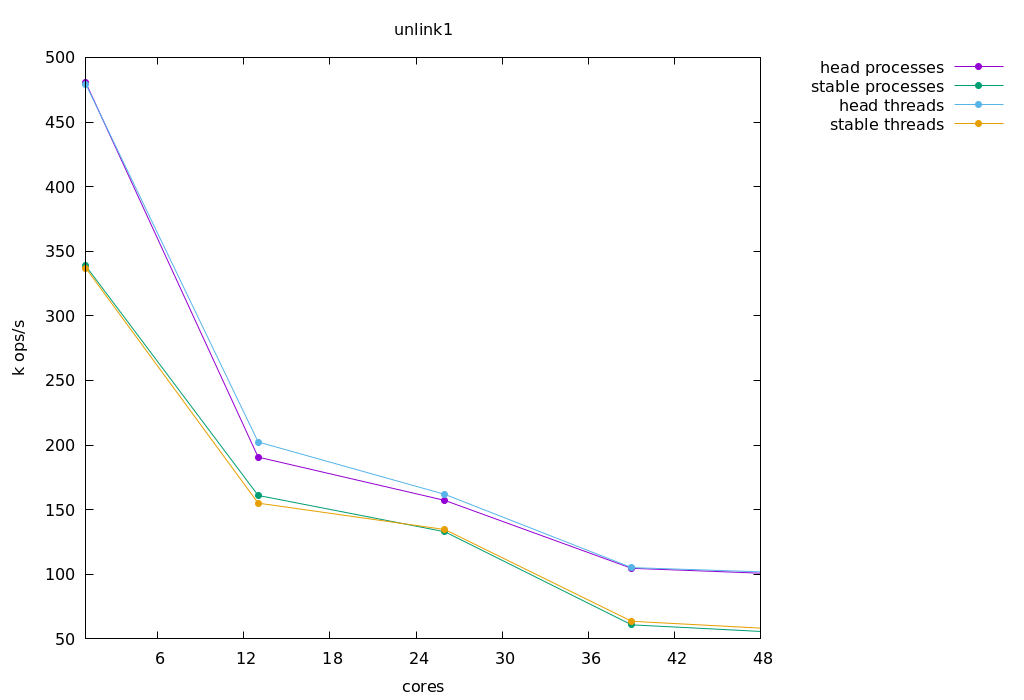
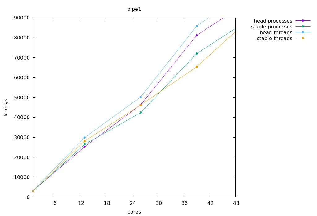
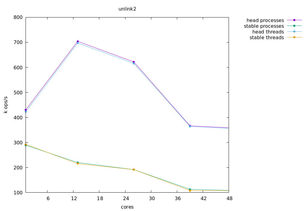
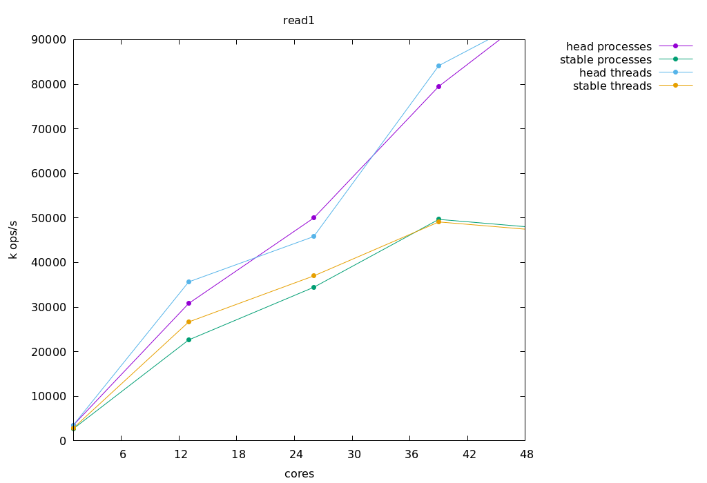
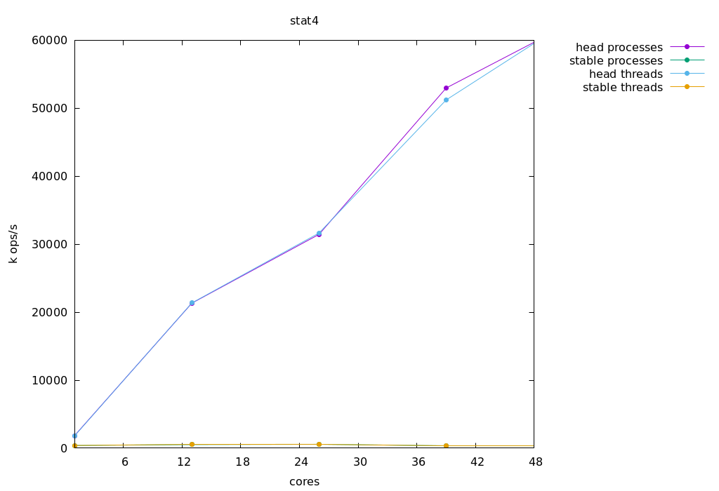
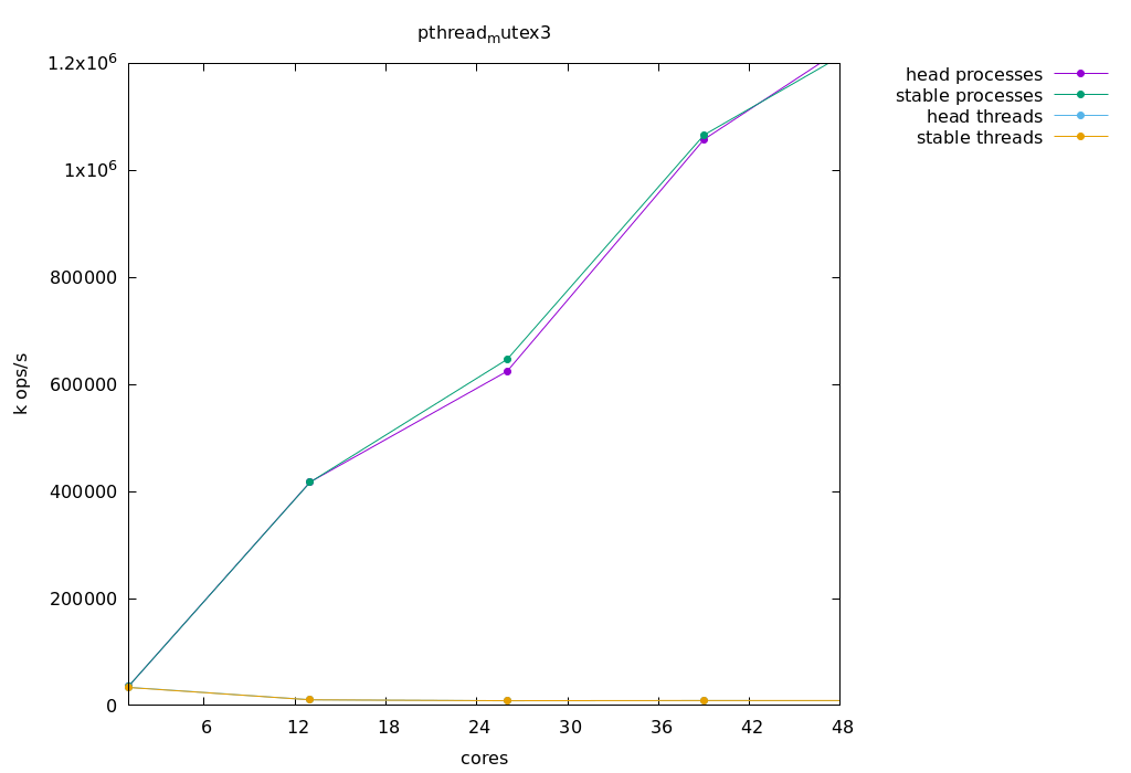
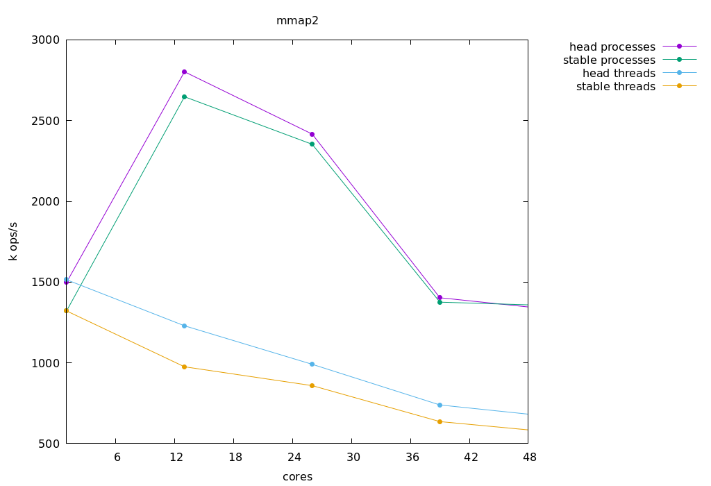
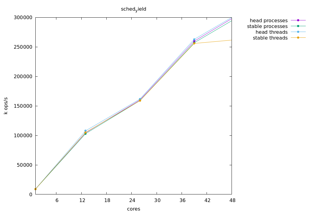
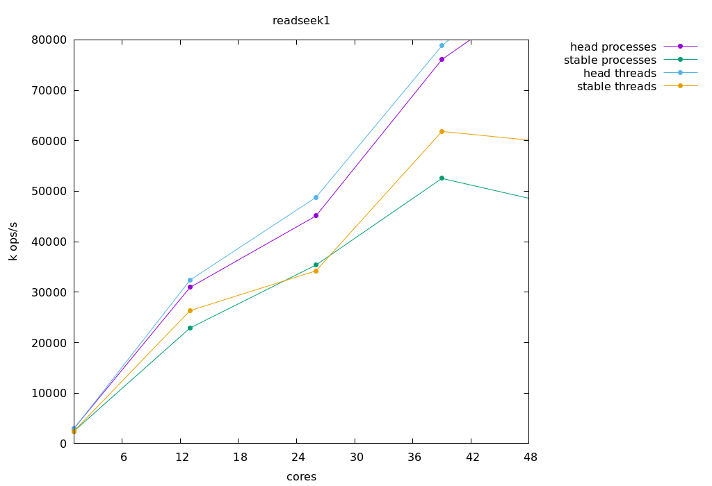
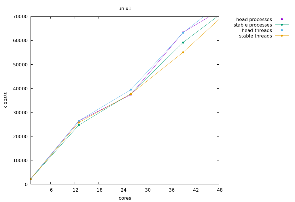
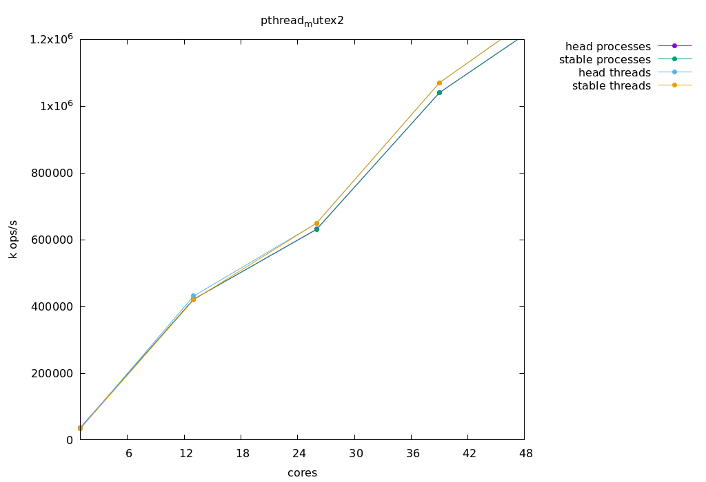
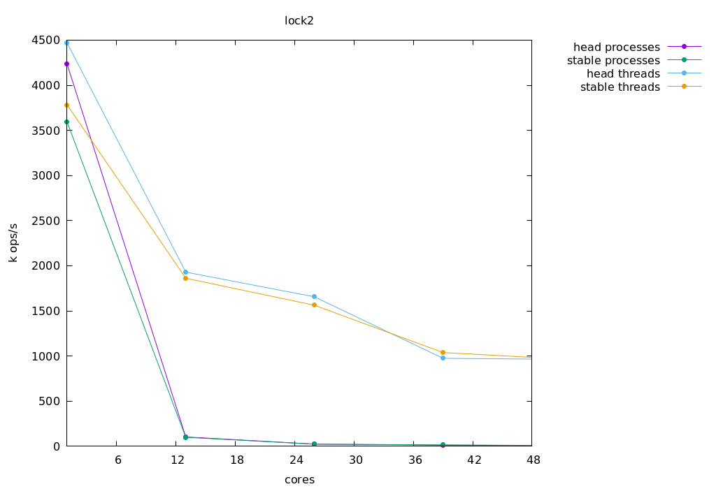
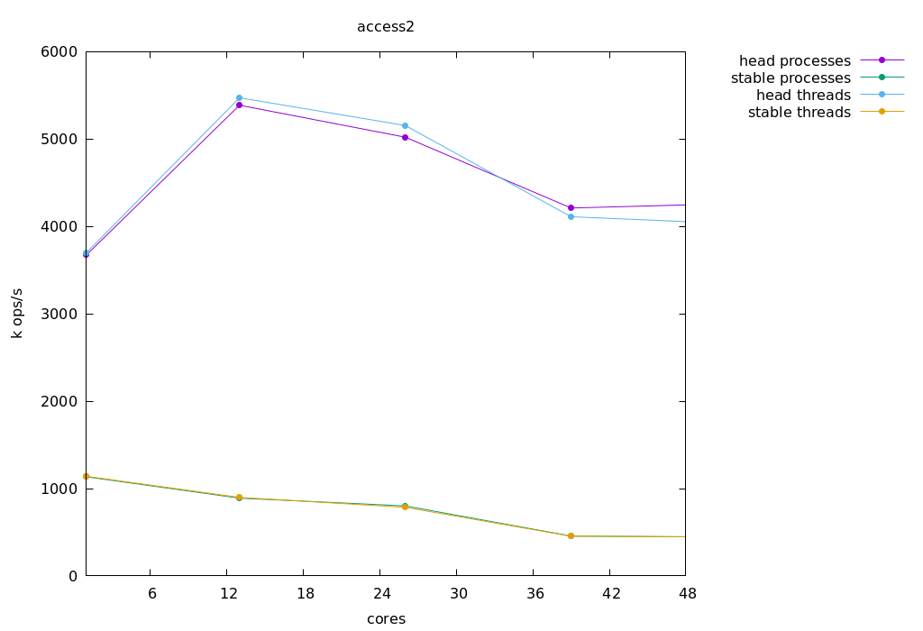
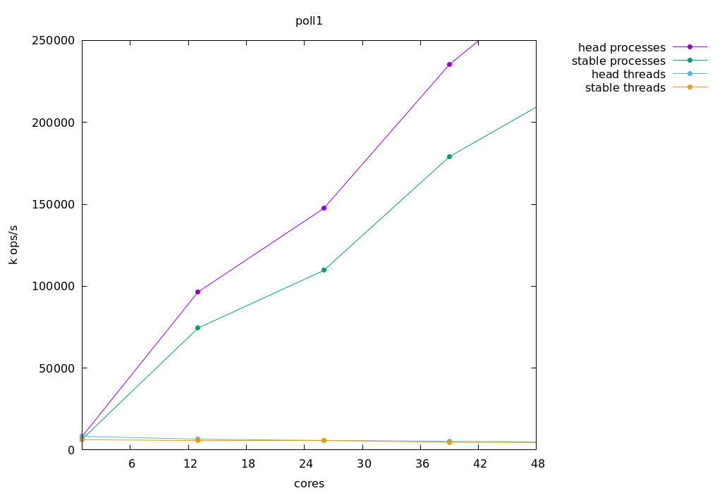
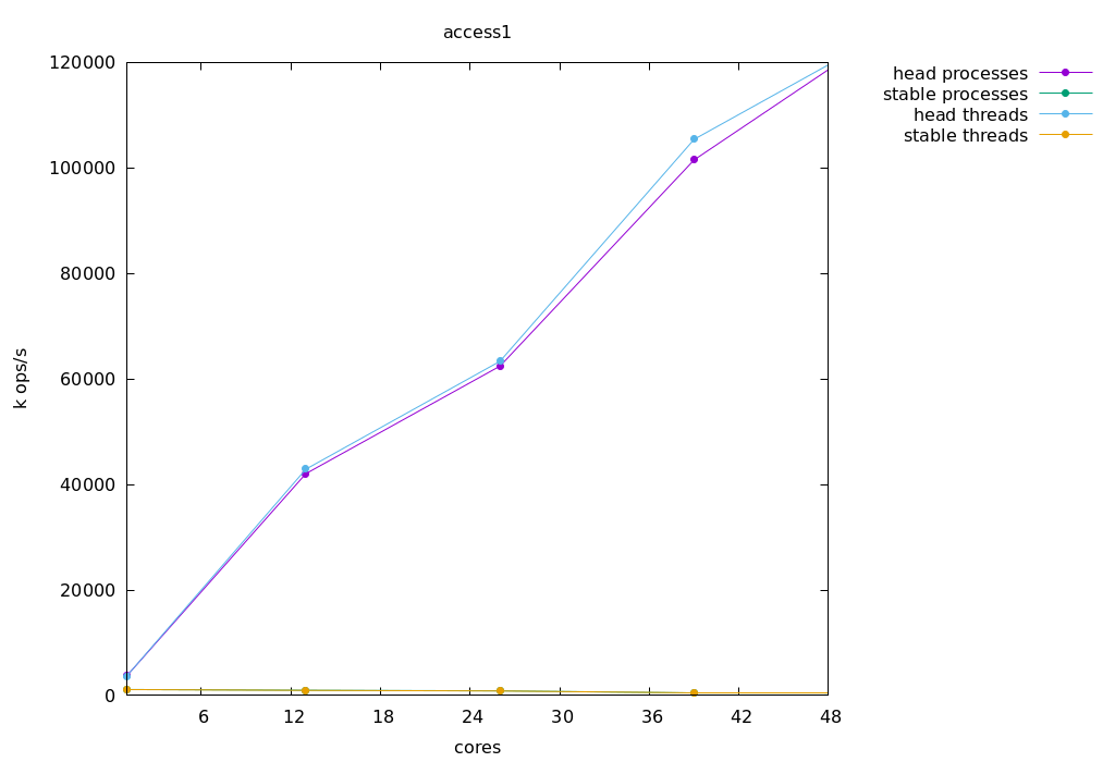
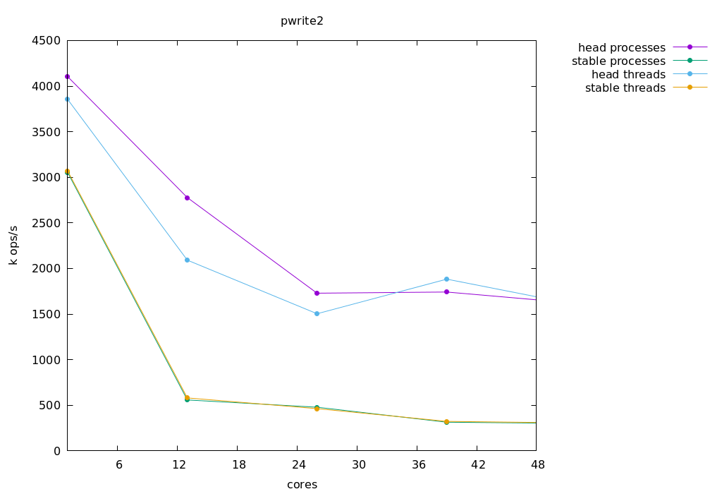
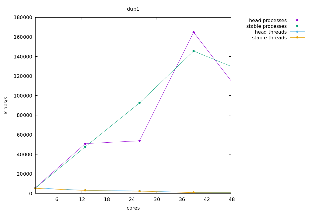
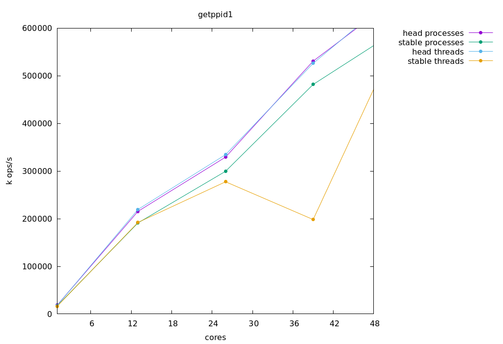
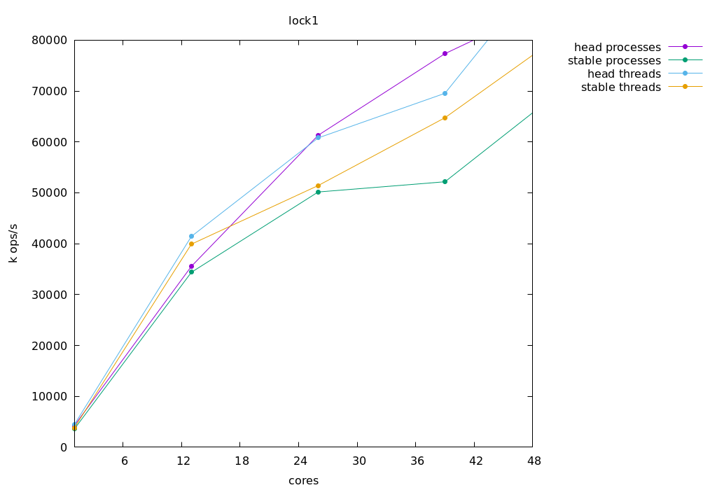
will-it-scale

hardware: a 2 socket * 26 core Skylake
head: FreeBSD r363363 + fast path lookup + partial adaptive spinning for lockmgr
stable: FreeBSD stable/12 r363359
Note: some performance drops are bogus and will be cleaned up later, this is a WIP drop

results